Loading cart contents...
คู่มือเฉลย แคลคูลัส 1 สำหรับวิศวกร
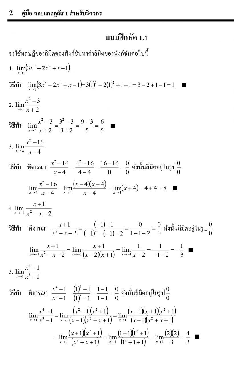
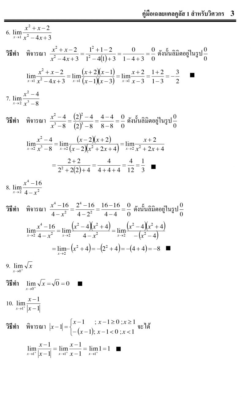
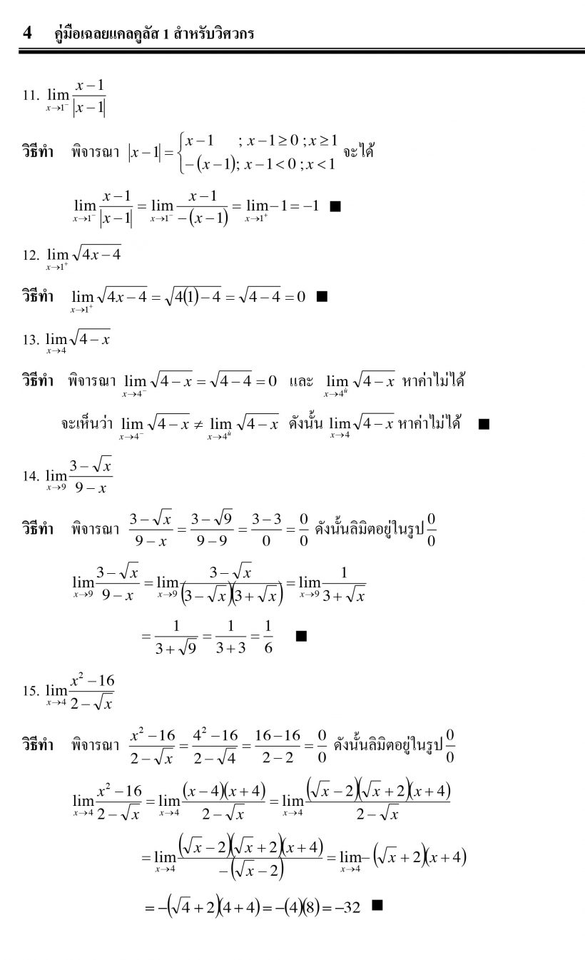
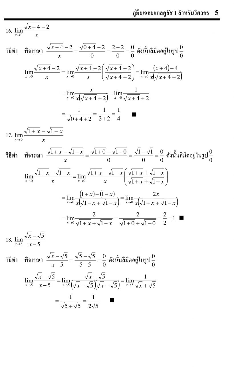
คู่มือเฉลยแคลคูลัส 1 สำหรับวิศวกร เป็นหนังสือคู่มือเฉลย แสดงวิธีทำโจทย์และเฉลยจากหนังสือแคลคูลัส 1 สำหรับวิศวกร อย่างละเอียด ซึ่งจะช่วยให้เข้าใจได้ง่าย ทั้งหมด 6 บทได้แก่ 1) ลิมิตและความต่อเนื่องของฟังก์ชัน 2) อนุพันธ์ของฟังก์ชัน 3) การประยุกต์ของอนุพันธ์4) การอินทิเกรต 5) เทคนิคการอินทิเกรต 6) อินทิกรัลจำกัดเขตและการประยุกต์
รหัสสินค้า: 9786162137686
฿340.00 ฿306.00
Product added!
Browse Wishlist
The product is already in the wishlist!
Browse Wishlist
- คู่มือเฉลยแคลคูลัส 1 สำหรับวิศวกร เป็นหนังสือคู่มือเฉลย แสดงวิธีทำโจทย์และเฉลยจากหนังสือแคลคูลัส 1 สำหรับวิศวกร อย่างละเอียด ซึ่งจะช่วยให้เข้าใจได้ง่าย ทั้งหมด 6 บทได้แก่ 1) ลิมิตและความต่อเนื่องของฟังก์ชัน 2) อนุพันธ์ของฟังก์ชัน 3) การประยุกต์ของอนุพันธ์4) การอินทิเกรต 5) เทคนิคการอินทิเกรต 6) อินทิกรัลจำกัดเขตและการประยุกต์
- วิดีโอแนะนำการใช้หนังสือโดย รศ. ดร.ธีระศักดิ์ อุรัจนานนท์
- คู่มือเฉลยที่แสดงวิธีทำโจทย์และเฉลยอย่างละเอียด เข้าใจได้ง่าย
- ค้นหาข้อมูลด้วย Google (Google Search)
ผู้เขียน : รศ. ดร.ธีระศักดิ์ อุรัจนานนท์
Barcode : 978-616-213-768-6
จำนวน : 500 หน้า
กระดาษ (เนื้อใน) : ปอนด์
ขนาด (กว้างxยาว) : 18.5 x 25.6 cm
มาเป็นคนแรกที่วิจารณ์ “คู่มือเฉลย แคลคูลัส 1 สำหรับวิศวกร” ยกเลิกการตอบ
Related products
-
Sale!
฿119.00฿107.00 -
Sale!
฿280.00฿252.00 -
Sale!
฿119.00฿107.00 -
Sale!
฿119.00฿107.00
ตระกร้าสินค้าของคุณ
Top rated products
-
การติดตั้งระบบไฟฟ้าเซลล์แสงอาทิตย์ด้วยตนเอง
฿200.00฿180.005.00
-
วรรณคดีไทย ไกรทอง
฿119.00฿107.00 -
เจาะลึกแนวข้อสอบ ERROR
฿185.00฿167.00 -
เจ้าหญิงนิทรา
฿89.00฿80.00 -
ข้อสอบเข้า ป.1 KID TEST 2 (สภาพ 60-80%)
฿185.00฿167.00
ค้นหาหนังสือ
หมวดหมู่สินค้า
- การศึกษา (108)
- Dictionary (3)
- คู่มือเรียน-สอบ ระดับประถม (21)
- พจนานุกรม (2)
- ภาษาอังกฤษ (2)
- รวมสูตร (4)
- ระดับมัธยมศึกษา (15)
- ภาษาศาสตร์ (10)
- ระดับอนุบาล (54)
- เตรียมสอบเข้าวิศวกรรม พระจอมเกล้าพระนครเหนือ (7)
- การ์ตูนความรู้ (148)
- การ์ตูนความรู้ฉลาดรอบโลก (โคเนี้ยวยอดนักสืบ) (14)
- การ์ตูนความรู้ทั่วไป (4)
- ชุดนิทานพื้นบ้าน ๔ ภาค comic (5)
- นิทานพื้นบ้านไทย (12)
- ผจญภัยตามรอยพระพุทธเจ้า (พระเจ้า ๕๐๐ ชาติ) (45)
- วรรณกรรมจีน (3)
- วรรณคดี-ฉบับคลาสสิก (8)
- วรรณคดี-พระราชนิพนธ์ (18)
- วรรณคดีลำนำ (6)
- วรรณคดีเล่าใหม่ให้เยาว (3)
- วิทยาศาสตร์ (5)
- ศาสนา-ปรัชญา (8)
- อัตชีวประวัติบุคคลสำคัญ (7)
- ๙ ตามรอยพ่อ (10)
- การ์ตูนเสริมความรู้ (66)
- คณิตศาสตร์ (7)
- คู่มือเตรียมสอบเข้ารับราชการ (4)
- งานอาชีพ&ช่าง (33)
- นิทานสำหรับเด็ก (132)
- ทศชาติชาดก ธรรมะก่อนนอน (10)
- ธรรมะก่อนนอน (พระอรหันต์) (8)
- นิทานคุณธรรม (7)
- ประวัติศาสตร์ไทย (12)
- พลังเด็กดี (1)
- รอบรู้ประวัติศาสตร์ไทย ชุด ๑๐ รัชกาล (15)
- รอบรู้ประวัติศาสตร์ไทย ชุดบุคคลสำคัญ (11)
- สงครามมหายุทธ (2)
- รอบรู้ประวัติศาสตร์ไทย ชุดมหาราช (10)
- วรรณคดีไทย (29)
- หลวงตาเล่าชาดก (19)
- เทพนิยายนานาชาติ (10)
- รวมกฎ กติกา และพื้นฐานการเล่นกีฬา (11)
- สำนักพิมพ์นิช (9)
- หนังสือขายดี (13)
- หนังสือใหม่ (0)
- หนังสือได้รับรางวัล (7)
- โปรโมชั่น (3)


























รีวิว
ยังไม่มีบทวิจารณ์